Was ist eigentlich Gravitation?

Hier werden andere Standardmodelle der Physik kritisiert oder verteidigt

Re: Was ist eigentlich Gravitation?

Beitragvon Ernst » Di 15. Jul 2014, 09:14

Harald Maurer hat geschrieben: Für jeden, der logisch denken kann, kann die Folgerung daraus nur sein, dass die Körper ungeachtet ihrer Masse gleich schnell fallen.

Und die Logik stellt dir hier ein Bein.

Dein Denkfehler liegt darin, daß du dich auf zwei kleine Massen beziehst, welche auf eine große Masse fallen. Praktisch mit hoher Näherung stimmt deine Überlegung dazu.
Aber theoretisch ist es eben nicht richtig.

Es handelt sich um ein Dreikörperproblem. Da wirkt jede der drei Massen auf die jeweils andere Masse. Unabhängig von ihrem aktuellen Bewegungszustand.
Es sind eben nicht zwei Massen, welche auf eine dritte fallen. Sondern jede Masse fällt gewissermaßen auf jede. Die Beschleunigung einer der drei Massen ergibt sich aus der Gravitationswirkung der beiden anderen Massen.

http://de.wikipedia.org/wiki/Dreik%C3%B6rperproblem
Bild

Deine Überlegung ist also nicht richtig. Sie widerspricht eklatant dem Gravitationsgesetz.

Veranschaulichen kann man es an einem Beispiel:
Der Mond verliert plötzlich seine Umfangsgeschwindigkeit und fällt senkrecht auf die Erde. Auf der erdabgewandten Mondseite steht ein Astronaut und läßt eine Kugel aus seiner Hand frei.
Mond und Kugel fallen nun auf die Erde. Aber die Kugel wird doch viel früher auf den Mond fallen, als dann Mond und Kugel gemeinsam auf die Erde.
.
.
Ernst
 
Beiträge: 11188
Registriert: Mi 31. Dez 2008, 18:58

Re: Was ist eigentlich Gravitation?

Beitragvon Yukterez » Di 15. Jul 2014, 10:33

Bild hat geschrieben:
Weißt du, was das ist?
Das Zeichen für das Maß deiner Dummheit.
Du Legastheniker!
Bild hat geschrieben:
Bild hat geschrieben:multipliert

Na, ihr beiden rosa Schweinchen, wenn mich ein Tippfehler zu einem Legastheniker macht, was macht dann die Tatsache, dass Highway in jedem seiner Beiträge das und dass verwechselt aus ihm? Oder der Fakt, dass ihr den freien Fall nach der von Chief ergoogelten Sternenimplosionsformel für Gasbälle errechnet habt? Was genau ist die Ursache dafür, dass in Highways Zitaten stets ein [/quote] am Ende überbleibt, selbst im 10. Anlauf noch? Und wie kommt es, dass ihr euch von einem Legastheniker Tag für Tag aufs Neue in Grund und Boden verarschen lassen müsst? Na, Ernst, wie fühlt es sich an, sich seine Dreikörpersimulation von Google kopieren zu müssen, weil man zu dumm ist, sich selber eine zu schreiben; insbesondere, wenn man jenen, die das können, unendliche Dummheit diagnostiziert hat? Und wie kommt man sich vor, wenn man Numerik nicht von Analysis unterscheiden kann, aber aus irgendeinem Grund trotzdem unbedingt bei dem Thema mitreden muss?

Den alten xxx vollends durch den Kakao ziehend,

Bild

PS:

Harald Maurer hat geschrieben:Es scheint den Teilnehmern hier vordringlich ein Anliegen zu sein, auf jeden Fall jedem Argument zu widersprechen, was meist in inhaltsleerer Wortklauberei endet.

Entweder das, oder wenn es nichts mehr zu klauben gibt, dann wird ganz einfach unverhohlen die pure Idiotie fabriziert. Manchen Leuten ist anscheinend gar nichts peinlich!
Yukterez
 
Beiträge: 14686
Registriert: So 8. Apr 2012, 19:55

Re: Was ist eigentlich Gravitation?

Beitragvon fallili » Di 15. Jul 2014, 11:04

Harald Maurer hat geschrieben:
fallili hat geschrieben:Natürlich fallen eine schwere oder eine leichte Masse gleich schnell, wenn sie von einer Gravitationsquelle angezogen werden. Was Spacerat da schreibt ist Unsinn hoch 3.

Das würde ich auch sagen. Wie verträgt sich Deine hier richtige Feststellung, dass Massen ungeachtet ihrer Masse gleich schnell fallen, mit Deiner entgegengesetzten Behauptung:
fallili hat geschrieben:Eine Feder wird fallen gelassen und danach wird der Hammer fallen gelassen. Also ist der Hammer definitiv in Radialrichtung hinter der Feder. Und schon wirkt er auch in Radialrichtung gravitativ auf die Feder.

Daher lautet die Antwort auf die Frage
zieht jetzt der nachfolgende Hammer die Feder zurück?

Natürlich ja!

Wenn also andererseits der Hammer zuerst fällt, zerrt er am Faden zur langsamer fallenden Feder und der Faden reißt. Und nun sagst Du sinngemäß das Gegenteil - "Natürlich fallen eine schwere oder eine leichte Masse gleich schnell". Also, was denn jetzt?


Grüße
Harald Maurer


Harald, das ist kein Widerspruch sondern es sind zwei verschiedene Situationen.
Wenn ich was auf die Erde fallen lasse wirkt auf den Körper die Kraft F = G * M(Erde) * m / r^2
Die Beschleunigung einem Masse m ist: a = F/m - also kommt für a unabhängig von m immer G * M(Erde) / r°2 heraus.
Womit klar ist, dass alle Massen gleich beschleunigt werden.

Wenn ich was auf die Erde fallen lasse und gleichzeitig in der Hand eine zusätzliche Masse (Hammer) halte - oder später erst fallen lasse - wirken auf den fallenden Körper zwei Kräfte die gegensätzlich wirken:

F = G * M(Erde) * m / r(Abstand zur Erde)^2 - G * M(Hammer) * m / r(Abstand zum Hammer)^2

Was natürlich dann auch eine anderen Beschleunigungswert ergibt:
a = G * M(Erde) / r(Abstand zur Erde)^2 - G * M(Hammer) / r(Abstand zum Hammer)^2

Da übrigens der Hammer (wenn er später fällt) von Erde und Feder in die gleiche Richtung angezogen wird, während die Feder von Erde und Hammer entgegengesetzten Kräften ausgesetzt ist, würde ein Faden zwischen beiden nicht reißen, sondern sogar nur immer "schlapper" werden. (Was auch gilt wenn der Hammer zuerst fällt - dann würde die Feder von Erde + Hammer etwas stärker beschleunigt werden als der Hammer).

Natürlich sind diese Einflüsse in der Realität absolut unerheblich und beinahe Infinitiv klein, da die Masse der Erde mit 6 exp24 enorm ist. Da müsste man schon mit einem "Hammer" im exp20 Bereich hantieren um einen merkbaren Einfluss zu erkennen.

Aber dass diese Einflüsse so winzig sind, bedeutet nicht, dass es sie nicht gibt!
fallili
 
Beiträge: 2977
Registriert: Sa 1. Jun 2013, 13:08

Re: Was ist eigentlich Gravitation?

Beitragvon Ernst » Di 15. Jul 2014, 11:34

Yukterez hat geschrieben:Na, Ernst, wie fühlt es sich an, sich seine Dreikörpersimulation von Google kopieren zu müssen, weil man zu dumm ist, sich selber eine zu schreiben; insbesondere, wenn man jenen, die das können, unendliche Dummheit diagnostiziert hat? Und wie kommt man sich vor, wenn man Numerik nicht von Analysis unterscheiden kann, aber aus irgendeinem Grund trotzdem unbedingt bei dem Thema mitreden muss?

Man fühlt sich jenen haushoch überlegen, die Probleme nicht analytisch geschlossen lösen können, und daher numerische Lösungen fabrizieren, deren Allgemeingültigkeit in den Sternen steht.
Wo man geschlossen lösen kann (Zweikörperproblem), da fängt nur ein Unbegabter mit Zahlen zu rechnen an.

Wenn eine geschlossene Lösung unmöglich ist (Dreikörperproblem), dann bleibt nur die numerische Rechnung. Das hab ich schon zur Genüge getan, als dein Mathespielwerkzeug noch gar nicht existierte.
Aber auch da muß man sinnvoll rechnen und nicht mechanisch drauflos traumwandeln, wie du es tust.

Es ist auch müßig, das Fahrrad neu zu erfinden. Es gibt zu Hauf numerisch erstellte Simulationen zum Thema Dreikörperproblem. Da mußt du nicht neue erfinden. Es sei denn, du hast den Rechentick, was aus deinem hier ungebremsten Zahlenschwall wahrscheinlich erscheint.

Daß du zu Haralds Dreikörperproblem schweigst, zeigt, daß du auch davon keine Ahnung hast. Wie denn auch, du Drehmomentspezialist.
.
.
Ernst
 
Beiträge: 11188
Registriert: Mi 31. Dez 2008, 18:58

Ernst tut das, was er am besten kann

Beitragvon Yukterez » Di 15. Jul 2014, 12:50

Lumpensammler Ernst,

Ernst hat geschrieben:Man fühlt sich jenen haushoch überlegen, die Probleme nicht analytisch geschlossen lösen können, und daher numerische Lösungen fabrizieren, deren Allgemeingültigkeit in den Sternen steht.

Und wie fühlt man sich, nachdem dieses Gish-Galopp-Argument auf viewtopic.php?f=7&t=663&p=76474&hilit=analytisch+numerisch#p76474 komplett zerlegt wurde?

Ernst hat geschrieben:Wo man geschlossen lösen kann (Zweikörperproblem), da fängt nur ein Unbegabter mit Zahlen zu rechnen an.

Wenn man von etwas nichts versteht, sollte man besser lernen anstatt zu versuchen irgendjemanden zu belehren!

Ernst hat geschrieben:Wenn eine geschlossene Lösung unmöglich ist (Dreikörperproblem), dann bleibt nur die numerische Rechnung. Das hab ich schon zur Genüge getan, als dein Mathespielwerkzeug noch gar nicht existierte.

In deinen feuchten Träumen vielleicht. Hier habe ich davon noch nichts gesehen!

Ernst hat geschrieben:Es ist auch müßig, das Fahrrad neu zu erfinden. Es gibt zu Hauf numerisch erstellte Simulationen zum Thema Dreikörperproblem.

Meinst du damit das Bildchen, das du von Wikipedia hierherkopiert hast?

Ernst hat geschrieben:Da mußt du nicht neue erfinden.

Doch doch, glaube mir, das musste ich. Übrigens: meine Simulation kann wenn ich das NDSolve durch ein DSolve ersetze auch die symbolischen Lösungen für Positionen, Geschwindigkeiten und Beschleunigungen ausgeben, nur würde die keiner mehr lesen wollen weil sie in dem Fall bei kleiner Schrift mehrere Seiten füllen Bild

Das Portfolio des selbsternannten Experten sehr gerne einmal sehen wollend,

Bild
Yukterez
 
Beiträge: 14686
Registriert: So 8. Apr 2012, 19:55

Der Hecht im Karpfenteich

Beitragvon Yukterez » Di 15. Jul 2014, 14:05

Tja, Bild, wenn du in diesem Teich der Moorkarpfen bist, dann bin ich im Vergleich dazu der weisse Hai.

Bild, Bild
Yukterez
 
Beiträge: 14686
Registriert: So 8. Apr 2012, 19:55

Re: Der Hecht im Karpfenteich

Beitragvon Ernst » Di 15. Jul 2014, 14:25

Yukterez hat geschrieben:Tja, Bild, wenn du in diesem Teich der Moorkarpfen bist, dann bin ich im Vergleich dazu der weisse Hai.

Bild, Bild


Nee, du bist dann der Barsch. :lol:
.
.
Ernst
 
Beiträge: 11188
Registriert: Mi 31. Dez 2008, 18:58

Re: Was ist eigentlich Gravitation?

Beitragvon Yukterez » Di 15. Jul 2014, 14:37

Bezeichnend, Ernst, dass du lieber auf diesen Beitrag antwortest, als auf den anderen.

Anscheinend nicht allzu viel von dir übrig gelassen habend,

Bild
Yukterez
 
Beiträge: 14686
Registriert: So 8. Apr 2012, 19:55

Re: Was ist eigentlich Gravitation?

Beitragvon Ernst » Di 15. Jul 2014, 14:43

Yukterez hat geschrieben:Bezeichnend, Ernst, dass du lieber auf diesen Beitrag antwortest, als auf den anderen.
Anscheinend nicht allzu viel von dir übrig gelassen habend,

Was soll ich auf solches Gesülze eingehen? Schade um die Abnutzung meiner Tastatur.
.
.
Ernst
 
Beiträge: 11188
Registriert: Mi 31. Dez 2008, 18:58

Re: Was ist eigentlich Gravitation?

Beitragvon Trigemina » Di 15. Jul 2014, 15:02

@Yukterez

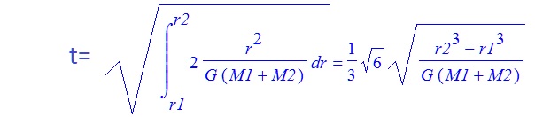
Deine Zeitbestimmung eines freifallenden Körpers nach Newton ist nur für hinreichend geringe Gravitationsgradienten eine gute Näherung!
viewtopic.php?f=7&t=663&start=1990#p76466
http://yukterez.ist.org/tff5.png

yukterez_t_grav.jpg
yukterez_t_grav.jpg (18.57 KiB) 4220-mal betrachtet


Damit ergeben sich zu geringe Laufzeiten. Beispielsweise für einen mit vernachlässigbarer Probemasse losgelassenen Körper von der Erdoberfläche Richtung als idealisierte Punktmasse angenommenes Erdzentrum. Dieser wird nach 896.04s das Ziel erreichen. Mit deinem Formalismus ergeben sich nur 658.68s


@Ernst

viewtopic.php?f=7&t=663&hilit=analytisch+numerisch&start=1850#p76326

sqrt (y0³/(2*G*(m1+m2)))

Dieser Spezialfall von y0 bis y=0 ist auch falsch. Ergibt nur 570.43s
Die geschlossene Lösung aus Wiki ist elegant, allerdings fehlt ihr eine variable Initialgeschwindigkeit (v0=0 wird vorausgesetzt).

Weiterhin frohe Betriebsamkeit!
Trigemina
 
Beiträge: 954
Registriert: So 11. Jan 2009, 14:30

VorherigeNächste

Zurück zu Andere Theorien

Wer ist online?

Mitglieder in diesem Forum: 0 Mitglieder und 3 Gäste