Endgültige Widerlegung der SRT

Hier wird die Relativitätstheorie Einsteins kritisiert oder verteidigt

Re: Endgültige Widerlegung der SRT

Beitragvon scharo » So 16. Jan 2011, 12:00

Lieber Ernst,

Du hast leider schon längst die Rahmen der SRT verlassen. Wie oft muss ich Dir klar machen, was die SRT und LT physikalisch aussagen:
Beide beruhen auf Messungen, so was nennt man Physik. LT und SRT besagen – immer Beobachter – wer soll sonst messen. Gemessen wird immer mit Lichtstrahlen – Lichtstrahl hin, reflektiert, kommt zurück, wird registriert. Jeder Beobachter meint, die LG sei zu ihm = c. Die Zeit bis Reflektion und zurück wird dann durch 2 geteilt – so bekommt man die Koordinaten der Reflektion. Immer ist ein materieller Reflektionskörper vorhanden. Das und nichts anderes ist die LT – kapiere es endlich!
Solange Du „Seher“ und Reflektionspunkte (Punktereignisse) ignorierst, ignorierst Du Messungen. Ohne Messungen – dann Ernsts Privatmetaphysik und Ernstsche SRT.

So, zu Deinen sich aufblasenden Ballons. Ich habe zuvor voreilig vom Ei mit Loch geschrieben – das ist falsch. Richtig ist bei einer Aufblasgeschwindigkeit = c „sieht“ S überhaupt NICHTS, entsprechend sieht auch S´ NICHTS, da keine Reflektionen vorhanden sind. In dem Moment, als die Aufblasgeschwindigkeit unter c fällt, bedeutet, die Lichtstrahlen aus S (vorgegeben) erreichen irgendwann gleichzeitig die Oberfläche des Ballons und reflektieren. S´ sieht unausweichlich bei jeder w den gleichen Ellipsoid. Dieses Erreichen der Oberfläche zu bestimmter Zeit unterscheidet sich mit dem Erreichen der Oberfläche einer starren Kugel überhaupt nicht. Somit ist Eure Gequatsche über unterschiedliche Formen in Abhängigkeit von w Unsinn hoch drei.
Solange Du das nicht akzeptiert hast, bewegst Du dich außerhalb der Physik, SRT und LT.
Das Brett vor Deinem Kopf ist, dass Du dir einen ständig leuchtenden Ballon vorstellst, dessen Lichtstrahlen S oder S´ irgendwann erreichen. Schön, und wie sollen S oder S´ messen, wann und von wo diese Lichtstrahlen ausgesandt wurden??? Wie sollen sie irgendwelche Koordinaten ermitteln??? Sie sehen, in buchstäblichen Sinne, dass irgendwas irgendwo leuchtet, sonst nichts, ein Messen kommt nicht in Frage.

Da Dir auch die Addition der Geschwindigkeiten und Invarianz der Geschwindigkeiten in der SRT auch nicht so klar sind:
Wann redet man von Invarianz der Geschwindigkeiten: Wenn mindestens zwei IS vorhanden sind und die Relativgeschwindigkeit immer zwischen zwei IS gemessen wird – A misst v, B misst auch v. Nun lassen wir ein Körper C mit einer Relativgeschwindigkeit aus B gemessen = u in B fliegen. Er fliegt dann aber auch in A. A misst die Geschwindigkeit zu C = w. Invarianz der Geschwindigkeiten betrifft nur Messungen aus eigenem BS und keine Annahmen, noch Berücksichtigung fremder Messungen. A misst zu C w, C misst zu A w; B misst zu C u, C misst zu B auch u; A misst zu B v, B misst zu A v. Invarianz bestätigt. Wie Du siehst, um über Invarianz in diesem Fall zu reden, sind es drei BS geworden.
Ich gebe zu, dass diese meiner Aussage zu deiner sich „aufblasenden“ Vorstellung nicht passend war und missverständlich aufgefasst sein könnte. Das ist aber kein Grund daraufhin sich aufzublasen und sachbezogene Tatsachen zu verschleiern. Wie ich Dir erklärt habe, hat eine Addition der Geschwindigkeiten in dem Fall nichts verloren.

Und ich sage Dir zum hundersten Mal: Deine Vorstellung („Lösung des Falles“) hat mit Physik und SRT nichts zu tun.
S´ wird immer einen Ellipsoid in v-Richtung GEDEHNT sehen, die Lichtwelle allein um S wird niemals von S´ „gesehen“, gesehen werden nur Reflektionen von irgendwelchen Punkten, alles anderes ist Schmarrn. :P

Liebe Sonntagsgrüße
Ljudmil
scharo
 
Beiträge: 688
Registriert: So 4. Jan 2009, 09:06
Wohnort: Niederbayern

Re: Endgültige Widerlegung der SRT

Beitragvon Ernst » So 16. Jan 2011, 12:52

Lieber Ljudmil
scharo hat geschrieben: Beide beruhen auf Messungen, so was nennt man Physik.

Physik gründet sich zwar auf Messungen, aber Physik abstrahiert das Ergebnis der Messungen in ein mathematisches Gerüst, mit welchem man Dinge ohne weitere Messung berechnen kann. Diese theoretisch aufgearbeitete Physik ermöglicht Aussagen ohne weitere Messungen.
Das mathematische Grundgerüst der SRT ist die LT mit ihren mathematischen Derivaten und Folgerungen. Damit sind alle Berechnungen relativistischer Vorgänge möglich.
Das kann man, wenn man da Verständnisprobleme hat, mit einem virtuellen Beobachter veranschaulichen. Das ist aber ganz unnötig, wenn man die mathematische Übersicht behält. In der GT, die auch weniger Geübte überblicken, denkt kein Mensch an einen Seher. Die LT ist nichts anderes, als die GT in "grün".

Dir gelingt das im Gegensatz zu den anderen Teilnehmern nicht, weil Du ganz offensichtlich physikalische Gleichungen nicht interpretieren kannst. Stattdesssen verstrickt Dich Dein Seher mit dem, was er sieht, was er meint zu sehen, was er mißt, was er meint, zu messen oder einfach was er meint, in einen Wirrwarr, von dem Du meinst, das wäre SRT. Letztes Beispiel. Deine Reaktion auf die von mir im Zusammenhang der bewegten Sphäre eingebrachte Formel zur Transformation einer Geschwindigkeit

u'=(u-v)/(1-uv/c²)

Da rufst Du als erstes: Geschwindigkeiten sind in der SRT invariant.
Als zweites rufst Du: Unzulässig! Das betrifft die Einführung eines dritten Bezugssystems.

Beides ist Unsinn und beides zeigt, daß Du den Inhalt auch dieser Gleichung überhaupt nicht verstehst. Und daher willst du ständig Deinen Beobachter befragen und landest dann bei dem Comic, daß die Kugelform eines Ballons allein schon deshalb zweifelhaft ist, weil dein Seher deren Rückseite nicht sehen kann, weil er auf "der abgewandten Seite überhaupt nicht sichtbar ist".

Lieber Ljudmil, was Du da schreibst, ist alles bizarr. Deine Physik eben. Ich halte mich lieber an die gelehrte Physik auf exakt mathematischer Basis.

Liebe Grüße
Ernst
Ernst
 
Beiträge: 11188
Registriert: Mi 31. Dez 2008, 18:58

Re: Endgültige Widerlegung der SRT

Beitragvon Harald Maurer » So 16. Jan 2011, 13:54

Chief hat geschrieben:Und wenn u und v bzw. c und v senkrecht zueinander sind?


Dann:
u'=u sqrt(1-v²/c²)

Weil alle Vorgänge im gestrichenen System verlangsamt gesehen werden (Zeitdilatation).
Ein Ballon z.B. bläht sich daher (in y-Richtung) in den BS mit unterschiedlichen Geschwindigkeiten auf!

Grüße
Harald Maurer
Harald Maurer
Administrator
 
Beiträge: 3218
Registriert: Di 30. Dez 2008, 13:05
Wohnort: Graz

Re: Endgültige Widerlegung der SRT

Beitragvon Ernst » So 16. Jan 2011, 14:40

Harald Maurer hat geschrieben:
Chief hat geschrieben:
Und wenn u und v bzw. c und v senkrecht zueinander sind?


Dann: u'=u sqrt(1-v²/c²)

Es ergibt sich Wiki:

LT Geschwindigkeit.jpg
LT Geschwindigkeit.jpg (9.48 KiB) 5656-mal betrachtet


Und es läßt sich zeigen, daß allgemein für u=c sich ergibt u'=c

Für u senkrecht v hast Du natürlich recht.

Gruß
Ernst
Ernst
 
Beiträge: 11188
Registriert: Mi 31. Dez 2008, 18:58

Re: Endgültige Widerlegung der SRT

Beitragvon Ernst » So 16. Jan 2011, 16:03

Chief hat geschrieben:Und wenn u und v bzw. c und v senkrecht zueinander sind?

Für c senkrecht zu v ergibt sich

u_x=0 ; u_y=c; u_z=0

u_x' = -v
u_y' = sqr(c²-v²)
u_z'=0

u_x'² + u_y'²= v² +c² - v² = c²

Also c breitet sich in S' auch mit c aus. Die Richtung ist allerdings geändert. Der Lichtstrahl in S' läuft nach "links oben" weg. Exakt so, wie Fabers Animation das zeigt.

Gruß
Ernst
Ernst
 
Beiträge: 11188
Registriert: Mi 31. Dez 2008, 18:58

Re: Endgültige Widerlegung der SRT

Beitragvon Britta » So 16. Jan 2011, 17:22

Highway hat geschrieben:
Festzuhalten ist jedenfalls das zwischen c und je nach Größe von v ein Phasenwinkel besteht mit allen Konsequenzen.

Dass eine Geschwindigkeit (v/c) einfach als Rotation in 4d verstanden werden kann, ist ein alter Hut. Als der Poet das hier damals im Forum so erklärt hat, seid ihr alle Amok gelaufen. Und auch Epstein erklärt es so, das ist doch nun keine geniale neue Erkenntnis die du hier hattest, sondern einfache Mathematik. Pythagoras, Einheitskreis und Winkelfunktionen.
Britta
 
Beiträge: 1094
Registriert: Do 12. Feb 2009, 17:16

Re: Endgültige Widerlegung der SRT

Beitragvon scharo » So 16. Jan 2011, 18:30

Lieber Ernst,

„Physik gründet sich zwar auf Messungen, aber Physik abstrahiert das Ergebnis der Messungen in ein mathematisches Gerüst, mit welchem man Dinge ohne weitere Messung berechnen kann. Diese theoretisch aufgearbeitete Physik ermöglicht Aussagen ohne weitere Messungen.
Das mathematische Grundgerüst der SRT ist die LT mit ihren mathematischen Derivaten und Folgerungen. Damit sind alle Berechnungen relativistischer Vorgänge möglich.“

Richtig, sehr schön beschrieben.

„Das kann man, wenn man da Verständnisprobleme hat, mit einem virtuellen Beobachter veranschaulichen. Das ist aber ganz unnötig, wenn man die mathematische Übersicht behält.“

Sehr richtig. Verstehest Du jetzt, warum ich die ganze Zeit Beobachter verwende? Weil Deine Mathematik den Überblick über die physikalischen Vorgänge verloren hat. :P

So, Du verwendest den Trick aus der Geschwindigkeitsaddition, so dass bei w = c die Summe aus w (c) + v = u = c. Diese u = c ist jedoch die Summe aus den beiden v- und w- Geschwindigkeiten. Kannst Du jetzt sagen welcher Anteil hat v dabei und welchen w?
Na so was, w ist doch nicht gleich c !!! Die Sphäre mit c ist geplatzt.
Oder meinst Du, nur w behält ihr Wert und v geht baden? Was hast Du erreicht – zwei IS mit relativer zueinander Geschwindigkeit von 0 !!! Ja dann ist es kein Wunder, dass auch S´ ein Kugel um S sieht.

Aus deinen „Überlegungen“ erwächst eine Gebilde, die bei kleinerer w Ellipsoid ist, bei steigender w ändert ständig sie Gestallt und bei w = c Kugel wird. Und Du meinst, das alles wäre nach der SRT richtig und das hat auch Einstein gemeint.
Nun gut, schauen wir weiter: Ich habe Dir einwandfrei nachgewiesen, dass exakt nach der SRT und nach der Physik, eine Kugelsphäre, die sich um S aufbläst, von kleinster bis großmöglichtster w einen immer gleichen von Form her Ellipsoid ergibt. Bei w = c sehen S und S´ nichts. D.h. auch bei w = 0,9999999999999c ist immer den gleichen Ellipsoid zu sehen, dessen Form einzig von Gamma, d.h. von v abhängt.
Da stimmt was nicht! Wer liegt falsch?

Zweitens und wo Du dich vehement zu antworten weigerst, welcher Kugelsphäre meinst Du – eine um S-Ursprung oder eine um S´-Ursprung. Beide sind laut Einstein auf Abstand v*t als die Welle den Punkt ergreift.
Nach Deinen Auslassungen, muss es sich um eine Kugelsphäre um S-Ursprung handeln, die auch S´ kugelig sehen soll – das zeigt auch deine G-Addition – so meinst Du hat auch Einstein gemeint. Ist das so?
Schauen wir mal die zwei Kugelgleichungen an:
ct ist der Radius einer Kugel um S-Ursprung
ct´ ist jedoch der Radius einer Kugel um S´-Ursprung
S. oben – beide Ursprünge sind nach Angaben von Einstein auf Abstand von vt, oder wenn Dir lieber ist auf vt´.
Da stimmt schon wieder was nicht. Warum redet Einstein über einen Punkt mit den Koordinaten x,y,z, der von der Welle bei t ergriffen wird?

Antworte bitte sachlich auf diese Fragen!

Übrigens – bei „meinen“ Berechnungen auf Seite 85 habe ich doch einen Fehler gemacht. Du hast sie nicht entdeckt. Chief schon, schwieg aber delikat.
„Aus S´-Sicht ist S entfernt auf v*t´ = -0,6*0,8 = -0,48Ls“
Das ist falsch natürlich, richtig ist auf Abstand von –0,75Ls. Somit ist der Ellipsoid zum Ursprung von S nicht versetzt und die Animation von Chief ist komplett richtig.

Liebe Grüße
Ljudmil
scharo
 
Beiträge: 688
Registriert: So 4. Jan 2009, 09:06
Wohnort: Niederbayern

Re: Endgültige Widerlegung der SRT

Beitragvon Jocelyne Lopez » So 16. Jan 2011, 19:00

scharo hat geschrieben:

Ernst hat geschrieben:„Physik gründet sich zwar auf Messungen, aber Physik abstrahiert das Ergebnis der Messungen in ein mathematisches Gerüst, mit welchem man Dinge ohne weitere Messung berechnen kann. Diese theoretisch aufgearbeitete Physik ermöglicht Aussagen ohne weitere Messungen.
Das mathematische Grundgerüst der SRT ist die LT mit ihren mathematischen Derivaten und Folgerungen. Damit sind alle Berechnungen relativistischer Vorgänge möglich.“

Richtig, sehr schön beschrieben.

In der Tat. So lernt man eigentlich den Einsatz der Mathematik in der Grundschule: Wenn man zum Beispiel die Länge und die Breite einer Tischplatte erst einmal gemessen hat, kann man die Oberfläche der Platte berechnen, ohne weitere Messung. Ohne Mathematik könnte man die Oberfläche nicht berechnen, die Mathematik führt zu weiteren Meßgrößen ohne Messungen und ermöglicht quantifizierte Erkenntnisse, die man ohne sie nicht erzielen könnte. Die Mathematik ist ein kostbares und unverzichtbares Werkzeug in der Physik und überhaupt.

Primär stehen aber indiskutabel die Meßdaten im Vordergrund: Wenn man sich z.B. bei der Messung der Länge und der Breite der Tischplatte vermessen hat, dann ist die Berechnung der Oberfläche Schrott, egal ob man das kostbare Werkzeug Mathematik richtig angewandt hat oder nicht. Da hilft nichts.

Wenn zum Beispiel 10 Äpfel in einem Korb liegen, ich verzähle mich und zähle nur 9, dann kann ich seitenlange richtige mathematische Berechnungen mit meinem Meßergebnis anstellen: Kein Mathematikgenie der Welt wird ändern können, dass die Berechnungen Schrott sind: Es liegen 10 Äpfel im Korb, und nicht 9.

So ist es auch mit der SRT und ihrer Mathematik: Sie geht von falschen Meßdaten aus, ihre Berechnungen könnten so richtig und sogar "elegant" sein wie nur möglich, sie sind Schrott... :|

Viele Grüße
Jocelyne Lopez
Jocelyne Lopez
 
Beiträge: 4174
Registriert: So 8. Feb 2009, 22:41

Re: Endgültige Widerlegung der SRT

Beitragvon Ernst » So 16. Jan 2011, 21:27

Lieber Ljudmil,
scharo hat geschrieben: So, Du verwendest den Trick aus der Geschwindigkeitsaddition, so dass bei w = c die Summe aus w (c) + v = u = c. Diese u = c ist jedoch die Summe aus den beiden v- und w- Geschwindigkeiten. Kannst Du jetzt sagen welcher Anteil hat v dabei und welchen w?
Na so was, w ist doch nicht gleich c !!! Die Sphäre mit c ist geplatzt.

Du verstehst nichts!

(1) u'=(u-v)/(1-uv/c²)
Ist die Transformationsformel für eine `Geschwindigkeit u von S nach S'. v ist darin die Relativgeschwindigkeit zwischen S un S'
Ganz genauso wie v das in der Gleichung zur LT von x ist:
(2) x'=(x-vt)/sqr(1-v²/c²)
In (2) wird eine x-Koordinate transformiert. In (1) eine Geschwindigkeit u in x-Richtung.
Das sollte normalerweise einfach zu verstehen sein. Aber Du erkennst die Analogie überhaupt nicht. Daher ist Dein obiges Spielchen purer Unsinn.

Ich hatte gezeigt, daß die Transformation einer Geschwindigkeit u=c aus S in S' wiederum u'=c ergibt.
Danach hat Chief nach der Transformation von einer Geschwindigkeit in y-Richtung gefragt. Ich habe die entsprechende Gleichung angegeben. Und korrekt danach ausgerechnet, daß bei einer Geschwindigkeit c in y-Richtung die Transformation nach S' dort ebenfalls eine Geschwindigkeit c ergibt, welche in der Richtung gedreht ist. Alles entspricht auch der Faberschen Animation.

Das zeigt immer wieder, daß wie vorausgesetzt, c invariant ist und daher eine Kugelsphäre in S auch eine solche in S' ergibt.
Aus deinen „Überlegungen“ erwächst eine Gebilde, die bei kleinerer w Ellipsoid ist, bei steigender w ändert ständig sie Gestallt und bei w = c Kugel wird. Und Du meinst, das alles wäre nach der SRT richtig und das hat auch Einstein gemeint.

Das ergibt sich nicht aus Überlegungen, sonder aus der exakten Mathematik der SRT. Anders als bei Deinem meinenden Seher!
ct ist der Radius einer Kugel um S-Ursprung
ct´ ist jedoch der Radius einer Kugel um S´-Ursprung
S. oben – beide Ursprünge sind nach Angaben von Einstein auf Abstand von vt, oder wenn Dir lieber ist auf vt´.
Da stimmt schon wieder was nicht. Warum redet Einstein über einen Punkt mit den Koordinaten x,y,z, der von der Welle bei t ergriffen wird?

Na und? Da stimmt alles. Einstein redet von der Welle in S zur Zeit t.

Ljudmil, ich lasse das jetzt mit Dir. Vieles, was du letztens hier geäußerst hast, ist bezüglich der SRT so grottenfalsch, daß ich mit Dir niemals auf einen gemeinsamen Nenner kommen kann. Es sei denn, Du legst anstelle Deiner Seherbeschreibung eine mathematische geschlossene Rechnung vor, wie das üblich ist, bei solchen Problemen und wie wir das gemacht haben. Alles andere ist Traumtänzerei..

Liebe Grüße
Ernst
Ernst
 
Beiträge: 11188
Registriert: Mi 31. Dez 2008, 18:58

Re: Endgültige Widerlegung der SRT

Beitragvon galactic32 » So 16. Jan 2011, 23:47

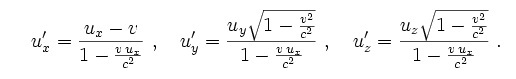
Chief hat geschrieben:Also, mit uy=c ist ux=0 und die mittlere Formel unten ergibt:
uy'=c*sqrt(1-v²/c²).
Bild

Genauer uy=c wird zu:

uy'=c*sqrt(1-v²/c²).
ux'=-v.

Gruß
galactic32
 
Beiträge: 1664
Registriert: Di 13. Okt 2009, 00:42

VorherigeNächste

Zurück zu Relativitätstheorie

Wer ist online?

Mitglieder in diesem Forum: 0 Mitglieder und 14 Gäste