Chief hat geschrieben:Das bedeutet, dass man die Länge des Resonators mit einem konventionellen "Meterstab" messen muss.
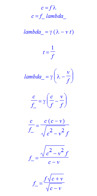
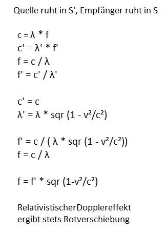
Das wird man wohl eher interferometrisch machen. Muss man auch nicht, da mit einem Laser die Beziehung c = f * λ leicht überprüfbar ist. Funktioniert er, dann hat der Resonator ein Mehrfaches der halben Wellenlänge. Dann muss eine bestimmte Frequenz herauskommen, die man messen kann.
Chief hat geschrieben:Für die Messung der Frequenz ist eine genaue Zeitmessung notwendig.
Natürlich. Ein Frequenzkamm wird mit einer Atomuhr kalibriert.
Grüße
Harald Maurer


