Das Michelson-Morley-Experiment

Hier wird die Relativitätstheorie Einsteins kritisiert oder verteidigt

Das Michelson-Morley-Experiment

Beitragvon Joachim Stiller » So 20. Okt 2013, 00:47

Ich würde gerne die Gelegnheit nutzen, und einmal Nägel mit Köpfen machen... Nun wird seitens der Mahag/Maurer-Fraktion behauptet, das Michelson-Morley-Experiment zur Bestätigung der Konstanz der Lichtgeschwindigkeit sei ungültig, und damit nicht aussagekräftig... Was sind da die Argumente? Dass wir uns richtig verstehen, auch ich habe inzwischen eingesehen, dass das Michelson-Morley-Experiment unbrauchbar ist, aber ich würde gerne Euren Argumenten kennenlernen. Im übrigen halte ich natürlich trotzdem an der Konstanz der LG fest, ungeachtet der für mich inzwischen offensichtlichen Tatsache, dass das Michelson-Morley-Experiment unbrauchbar ist... Hier einmal der Wiki-Artikel, den wir als Diskussionsgrundlage nehmen können:

http://de.wikipedia.org/wiki/Michelson- ... Experiment

Gruß Joachim Stiller Münster
Joachim Stiller
 
Beiträge: 302
Registriert: Sa 4. Jun 2011, 13:57
Wohnort: Münster

Re: Das Michelson-Morley-Experiment

Beitragvon Kurt » So 20. Okt 2013, 08:29

Joachim Stiller hat geschrieben:Ich würde gerne die Gelegnheit nutzen, und einmal Nägel mit Köpfen machen... Nun wird seitens der Mahag/Maurer-Fraktion behauptet, das Michelson-Morley-Experiment zur Bestätigung der Konstanz der Lichtgeschwindigkeit sei ungültig, und damit nicht aussagekräftig... Was sind da die Argumente? Dass wir uns richtig verstehen, auch ich habe inzwischen eingesehen, dass das Michelson-Morley-Experiment unbrauchbar ist, aber ich würde gerne Euren Argumenten kennenlernen. Im übrigen halte ich natürlich trotzdem an der Konstanz der LG fest, ungeachtet der für mich inzwischen offensichtlichen Tatsache, dass das Michelson-Morley-Experiment unbrauchbar ist... Hier einmal der Wiki-Artikel, den wir als Diskussionsgrundlage nehmen können:

http://de.wikipedia.org/wiki/Michelson- ... Experiment



Auzug daraus:

Obwohl nicht vollständig negativ, zeigte es, dass die „Bewegung gegen den Äther“ keinen Einfluss auf die Geschwindigkeit des Lichts hatte, denn der gemessene Wert war zu klein, um mit dem gesuchten „Ätherwind“ in Verbindung gebracht zu werden.


Was sagt dieser zusammenhanglose Satz eigentlich aus!!

Obwohl nicht vollständig negativ
Es wurde also etwas gemessen.

dass die „Bewegung gegen den Äther“ keinen Einfluss auf die Geschwindigkeit des Lichts hatte

Was bitte soll die Geschwindigkeit der Erde für einen Einfluss auf die Geschwindigkeit des Lichtes haben!!
Hier zeigt es sich wiedermal dass der Schreiber dieses Satzes nur einfach irgendwas nachplappert ohne sich bewusst zu sein was er überhaupt schreibt.
Die Angabe eines Wertes einer Geschwindigkeit bedarf der Nennung des Bezuges dafür, ansonsten ist sie wertlos und unbrauchbar.
Entweder hat er es nicht kapiert was er da schreibt oder er hat es mit Absicht getan um ein Argument, welches ja wertlos ist, in die Welt zu setzen.

Denn!! Wie bitte soll mit dem MMI die LG (aussagekräftig) gemessen werden!!
Das soll mir bitte mal einer zeigen!


Kurt




Obwohl nicht vollständig negativ
Selbst wenn das -was gemessen werden sollte- 100% vorhanden ist dann kann das mit dem MMI nur unzureichend erfasst werden, denn die verwendeten Materiealien (deren Verhalten) und der Aufbau des MMI, verhindern das.
Kurt
 
Beiträge: 21797
Registriert: Sa 7. Nov 2009, 14:07
Wohnort: Bayern

Re: Das Michelson-Morley-Experiment

Beitragvon Ernst » So 20. Okt 2013, 08:56

Joachim Stiller hat geschrieben:Nun wird seitens der Mahag/Maurer-Fraktion behauptet, das Michelson-Morley-Experiment zur Bestätigung der Konstanz der Lichtgeschwindigkeit sei ungültig, und damit nicht aussagekräftig... Was sind da die Argumente?

Ganz einfach:
MM bestätigt die Emissionsthese. Licht verhält sich wie Kanonenkugeln. Daher ist selbstverständlich die LG wie jede ander Geschwindigkeit variant.
.
.
Ernst
 
Beiträge: 11188
Registriert: Mi 31. Dez 2008, 18:58

Re: Das Michelson-Morley-Experiment

Beitragvon Harald Maurer » So 20. Okt 2013, 10:30

Joachim Stiller hat geschrieben:Nun wird seitens der Mahag/Maurer-Fraktion behauptet, das Michelson-Morley-Experiment zur Bestätigung der Konstanz der Lichtgeschwindigkeit sei ungültig, und damit nicht aussagekräftig... Was sind da die Argumente?

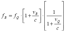
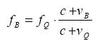
Im Michelson-Morley-Instrument wird die Geschwindigkeit relativ zum Medium ("Äther") durch die im Apparat auftretenden Doppler-Effekte aufgehoben, die dazu führen, dass die Frequenz bzw. Periodendauer stets konstant bleibt und sich eine Phasenverschiebung nur ergeben kann, wenn an irgendeinem Punkt eine zumindest temporäre Frequenzänderung eintritt.
Das sieht man sofort an den bereits an der von mir vor längerem eingestellten Gleichung aus der Kombination des klassischen Doppler-Effekts für bewegte Quelle und bewegten Beobachter:
Bild
Das ergibt:
Bild
Also f_B = f_Q
Hier eine Arbeit von Dr. Wolfgang Engelhardt, die meine Ansicht bestätigt!
http://www.worldsci.org/pdf/abstracts/abstracts_6815.pdf
Diese Meinung habe ich auch hier
http://www.mahag.com/srt/zeitbasis.htm
am 25. April 2011 ins Netz gestellt!
Experimente von der Art des MM-Experiments sind nicht in der Lage, interferometrisch eine Lorentzinvarianz nachzuweisen. Übrigens kann das kein Experiment, das Frequenzen in einer rotationsfreien Bewegung im Äther zu vergleichen versucht (wie das auch in den modernen MM-Experimenten der Fall ist). Es gibt überhaupt nur die Möglichkeit, in einer Einwegmessung die Geschwindigkeit eines auf eine em-Welle aufmodulierten Signals zu messen - so wie wir das mit dem Jupiter-Experiment getan haben! Oder man misst mit einem Apparat, in welchem sich die Rotationsanteile der Doppler-Effekte nicht kompensieren können. Dieser Apparat wird diese Rotationsanteile anzeigen, wogegen er eine longitudinale Bewegung im Äther nicht anzeigen wird, weil sich diese Anteile ebenso kompensieren wie im MM-Apparat. Dieser von mir angesprochene Apparat heißt Sagnac-Interferometer und der Effekt aus den unkompensierten Doppler-Effekten heißt Sagnac-Effekt!

Grüße
Harald Maurer
Harald Maurer
Administrator
 
Beiträge: 3218
Registriert: Di 30. Dez 2008, 13:05
Wohnort: Graz

Re: Das Michelson-Morley-Experiment

Beitragvon Harald Maurer » So 20. Okt 2013, 11:17

Chief hat geschrieben:W. Engelhardt macht denselben Fehler wie H. Maurer und W. Voigt.

Behauptung ohne Beweis? Worin besteht denn der Fehler? Das müsste dann ja wohl näher begründet werden! Was ist denn falsch an den Rechnungen von Dr. Engelhardt?

Grüße
Harald Maurer
Harald Maurer
Administrator
 
Beiträge: 3218
Registriert: Di 30. Dez 2008, 13:05
Wohnort: Graz

Re: Das Michelson-Morley-Experiment

Beitragvon Joachim Stiller » So 20. Okt 2013, 12:45

Was ist denn hier los? Das ist ja ein ziemliches Durcheinander...

Fakt ist doch, dass man versucht, mit dem MME die Konstanz der LG zu belegen. Ist die Versuchsanordnung in Ruhe, ist das klar. Unklar ist es nur in Bezug auf eine Bewegung gegen den Äther... Und auch da ergibt sich eine Konstanz der LG. Daraus schloss man, es gäbe keinen Äther... Es gibt auch keinen, aber was wäre, wenn es einen "gegeben hätte"? Auch dannn hätte das Experiment auf die Konstanz der LG gedeutet. Dazu folgende Überlegung: Wir bewegegen uns also gegen den Äther. Somit ist in der Gegenrichtung die LG kleiner, als in der relativen Ruhelage. Das blaue Photon kommt also später am Reflektorspiegle an, als das rote Photon... Dann kehrt sich die Richtung um, und das blaue Photon bewegt sich nun "mit dem Äther", und ist daher "schneller", als in Ruhelage... Und da davon ausgegangen werden kann, dass beide Geschwindigkeitsdifferenzene Delta v zur Ruhegescwhindigkeit des Lichtes sich im Rahmen der Versuchsanordnung des MME genau aufheben, zeigt sich eben "immer" eine Konstanz der LG. Und dafür ist es völlig unerheblich, ob es den Äther gibt oder nicht... Das MME beweist praktisch rein gar nichts. Es kann so sein, dass die LG tatsächlich konstant ist, es kann aber ganu so gut sein, dass es einen Äther gibt... Die Annahme eines "mitgefhrten" Äthers, ist dann völlig überflüssig, und sogar falsch. Argumentativ falsch... Und Frequenzunterschiede sind auch nicht das hier korrekte Arguemnte, Harrald... Schau dir die Animation noch einmal an... Das blaue Photon bewegt sich gegen den Ähter langsamer... Aber "mit" dem Äther muss es sich doch dann schneller bewegegen, und das wird in der Wiki-Animation eben falsch dargetellt. In jedem Fall treffen beide Photonen immer exakt zeitgleich am Schirm ein, auch wenn die LG zwischendrin ganz unterschiedliche Werte angenömmen hätte.. Das ist mein Argument, waru das MME unbrauchbarr ist...

http://commons.wikimedia.org/wiki/File: ... tionDE.gif

Gruß Joachim Stiller Münster
Joachim Stiller
 
Beiträge: 302
Registriert: Sa 4. Jun 2011, 13:57
Wohnort: Münster

Re: Das Michelson-Morley-Experiment

Beitragvon Kurt » So 20. Okt 2013, 13:05

Joachim Stiller hat geschrieben:Was ist denn hier los? Das ist ja ein ziemliches Durcheinander...

Das ist mein Argument, waru das MME unbrauchbarr ist...

http://commons.wikimedia.org/wiki/File: ... tionDE.gif


Erstens: Photonen existieren nicht, also kann mit ihnen auch nichts erklärt werden.

Zweitens: du musst schon erklären wo du die blauen und die roten Schwingungspakete her hast, wie diese zustande kommen sollten.

Kurt
Kurt
 
Beiträge: 21797
Registriert: Sa 7. Nov 2009, 14:07
Wohnort: Bayern

Re: Das Michelson-Morley-Experiment

Beitragvon Harald Maurer » So 20. Okt 2013, 13:29

Joachim Stiller hat geschrieben:Und da davon ausgegangen werden kann, dass beide Geschwindigkeitsdifferenzene Delta v zur Ruhegescwhindigkeit des Lichtes sich im Rahmen der Versuchsanordnung des MME genau aufheben, zeigt sich eben "immer" eine Konstanz der LG.

Die Geschwindigkeiten heben sich in erster Ordnung aus v/c sowieso auf! Das hat auch Michelson schon gewusst. Er suchte nach einem Effekt zweiter Ordnung aus v²/c²! Um zu verstehen, wieso auch dieser nicht auftritt, muss man sich eben die Doppler-Effekte im MM-Apparat genau anschauen!
Joachim Stiller hat geschrieben:Das ist mein Argument, warum das MME unbrauchbarr ist...

Das Argument betrifft nur den Effekt erster Ordnung. Den hat Michelson gar nicht erwartet. Jetzt brauchst Du noch ein Argument, wieso der Effekt zweiter Ordnung nicht auftritt! Und das hat dann gar nicht mit den Geschwindigkeiten zu tun, sondern mit Frequenzen und Wellenlängen.
Richtig ist, dass das MM-Experiment nichts beweist, weil man damit alles beweisen kann. Da aber ein Äther gar keinen Einfluss hat, weil sich aufgrund der Doppler-Effekte die Geschwindigkeit zum Äther exakt rauskürzt, kann damit auch nicht die Nichtexistenz eines Äthers bewiesen werden!

Grüße
Harald Maurer
Harald Maurer
Administrator
 
Beiträge: 3218
Registriert: Di 30. Dez 2008, 13:05
Wohnort: Graz

Re: Das Michelson-Morley-Experiment

Beitragvon Harald Maurer » So 20. Okt 2013, 13:35

Chief hat geschrieben:Der Fehler ist in the averaging of wavelength zu suchen (Gleichung 15).

gl_15.png
gl_15.png (18.59 KiB) 6272-mal betrachtet

Wo ist also der Fehler?

Grüße
Harald Maurer
Harald Maurer
Administrator
 
Beiträge: 3218
Registriert: Di 30. Dez 2008, 13:05
Wohnort: Graz

Re: Das Michelson-Morley-Experiment

Beitragvon Kurt » So 20. Okt 2013, 14:33

Chief hat geschrieben:
[(c+v) + (c-v)]/2 = c ist unzulässig!


Ist ja auch klar, weil das zu einem anderem Ergebnis führt als bei v=0


Kurt
Kurt
 
Beiträge: 21797
Registriert: Sa 7. Nov 2009, 14:07
Wohnort: Bayern

Nächste

Zurück zu Relativitätstheorie

Wer ist online?

Mitglieder in diesem Forum: 0 Mitglieder und 36 Gäste