Nutzen und Schaden der Einsteinschen ART und SRT

Hier wird die Relativitätstheorie Einsteins kritisiert oder verteidigt

Re: Nutzen und Schaden der Einsteinschen ART und SRT

Beitragvon Skeptiker » Mo 30. Sep 2024, 18:43

Lagrange hat geschrieben:
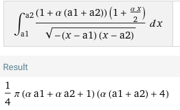
appr1.png

Macht dein Ergebnis ja nicht richtiger. Es ist ja immer noch falsch wenn es nicht zur Beobachtung passt.
Skeptiker
 
Beiträge: 3565
Registriert: Sa 8. Jun 2024, 11:01

Re: Nutzen und Schaden der Einsteinschen ART und SRT

Beitragvon Lagrange » Mo 30. Sep 2024, 18:45

Skeptiker hat geschrieben:
Lagrange hat geschrieben:
appr1.png

Macht dein Ergebnis ja nicht richtiger. Es ist ja immer noch falsch wenn es nicht zur Beobachtung passt.

Das ist Einsteins Integral. :D
Lagrange
 
Beiträge: 17794
Registriert: Mi 11. Feb 2009, 23:13

Re: Nutzen und Schaden der Einsteinschen ART und SRT

Beitragvon Skeptiker » Mo 30. Sep 2024, 18:54

Lagrange hat geschrieben:Das ist Einsteins Integral. :D

Es sind deine 5/4. Das ist muss dann ja falsch sein. Vermutlich hast du etwas nicht bedacht das Einstein aber eben schon bedacht hat.,
Skeptiker
 
Beiträge: 3565
Registriert: Sa 8. Jun 2024, 11:01

Re: Nutzen und Schaden der Einsteinschen ART und SRT

Beitragvon Lagrange » Mo 30. Sep 2024, 19:27

Skeptiker hat geschrieben:
Lagrange hat geschrieben:Das ist Einsteins Integral. :D

Es sind deine 5/4. Das ist muss dann ja falsch sein. Vermutlich hast du etwas nicht bedacht das Einstein aber eben schon bedacht hat.,

Er hat einfach betrogen oder falsch abgeschrieben.

Bild
Bild
Lagrange
 
Beiträge: 17794
Registriert: Mi 11. Feb 2009, 23:13

Re: Nutzen und Schaden der Einsteinschen ART und SRT

Beitragvon Skeptiker » Mo 30. Sep 2024, 19:55

Lagrange hat geschrieben:Er hat einfach betrogen oder falsch abgeschrieben.

Unwahrscheinlich, wahrscheinlicher ist das du einen Fehler machst. Dein Ergebniss passt ja auch nicht.,das ist nun mal eine Tatsache.
Skeptiker
 
Beiträge: 3565
Registriert: Sa 8. Jun 2024, 11:01

Re: Nutzen und Schaden der Einsteinschen ART und SRT

Beitragvon Lagrange » Mo 30. Sep 2024, 20:03

Skeptiker hat geschrieben:
Lagrange hat geschrieben:Er hat einfach betrogen oder falsch abgeschrieben.

Unwahrscheinlich, wahrscheinlicher ist das du einen Fehler machst. Dein Ergebniss passt ja auch nicht.,das ist nun mal eine Tatsache.

Wolfram hat bestätigt, dass ich richtig gerechnet habe. :D
Lagrange
 
Beiträge: 17794
Registriert: Mi 11. Feb 2009, 23:13

Re: Nutzen und Schaden der Einsteinschen ART und SRT

Beitragvon Skeptiker » Mo 30. Sep 2024, 20:14

Lagrange hat geschrieben:Wolfram hat bestätigt, dass ich richtig gerechnet habe. :D

Und dennoch ist das Ergebniss nicht passend. Also hast du wohl etwas nicht bedacht.
Skeptiker
 
Beiträge: 3565
Registriert: Sa 8. Jun 2024, 11:01

Re: Nutzen und Schaden der Einsteinschen ART und SRT

Beitragvon Lagrange » Mo 30. Sep 2024, 20:20

Skeptiker hat geschrieben:
Lagrange hat geschrieben:Wolfram hat bestätigt, dass ich richtig gerechnet habe. :D

Und dennoch ist das Ergebniss nicht passend. Also hast du wohl etwas nicht bedacht.

Offenbar hat Einstein falsch abgeschrieben. :lol:
Lagrange
 
Beiträge: 17794
Registriert: Mi 11. Feb 2009, 23:13

Re: Nutzen und Schaden der Einsteinschen ART und SRT

Beitragvon Skeptiker » Mo 30. Sep 2024, 20:59

Lagrange hat geschrieben:Offenbar hat Einstein falsch abgeschrieben. :lol:

Wahrscheinlicher ist du hast etwas vergessen.
Skeptiker
 
Beiträge: 3565
Registriert: Sa 8. Jun 2024, 11:01

Re: Nutzen und Schaden der Einsteinschen ART und SRT

Beitragvon Lagrange » Mo 30. Sep 2024, 21:48

Skeptiker hat geschrieben:
Lagrange hat geschrieben:Offenbar hat Einstein falsch abgeschrieben. :lol:

Wahrscheinlicher ist du hast etwas vergessen.

Ich frage mich nur, wer das Integral für ihn berechnet hat?
Grossmann?
Lagrange
 
Beiträge: 17794
Registriert: Mi 11. Feb 2009, 23:13

VorherigeNächste

Zurück zu Relativitätstheorie

Wer ist online?

Mitglieder in diesem Forum: 0 Mitglieder und 13 Gäste

cron