Nutzen und Schaden der Einsteinschen ART und SRT

Hier wird die Relativitätstheorie Einsteins kritisiert oder verteidigt

Re: Nutzen und Schaden der Einsteinschen ART und SRT

Beitragvon Lagrange » Mo 30. Sep 2024, 18:22

Skeptiker hat geschrieben:
Lagrange hat geschrieben:Sein Integral ergibt 5/4, nicht 3/4. Er hat betrogen.

Du meinst dein Integral ergibt das, das ist dann wohl falsch.

Das ist Einsteins Integral.
Lagrange
 
Beiträge: 17794
Registriert: Mi 11. Feb 2009, 23:13

Re: Nutzen und Schaden der Einsteinschen ART und SRT

Beitragvon Skeptiker » Mo 30. Sep 2024, 18:22

Lagrange hat geschrieben:Das ist Einsteins Integral.

Die 5/4 sind doch von dir, das ist dann wohl falsch.
Skeptiker
 
Beiträge: 3565
Registriert: Sa 8. Jun 2024, 11:01

Re: Nutzen und Schaden der Einsteinschen ART und SRT

Beitragvon Lagrange » Mo 30. Sep 2024, 18:25

Skeptiker hat geschrieben:
Lagrange hat geschrieben:Das ist Einsteins Integral.

Die 5/4 sind doch von dir, das ist dann wohl falsch.

Das ergibt das Integral von Einstein.
Lagrange
 
Beiträge: 17794
Registriert: Mi 11. Feb 2009, 23:13

Re: Nutzen und Schaden der Einsteinschen ART und SRT

Beitragvon Skeptiker » Mo 30. Sep 2024, 18:28

Lagrange hat geschrieben:Das ergibt das Integral von Einstein.

Dann hast du wohl was übersehen.
Skeptiker
 
Beiträge: 3565
Registriert: Sa 8. Jun 2024, 11:01

Re: Nutzen und Schaden der Einsteinschen ART und SRT

Beitragvon Lagrange » Mo 30. Sep 2024, 18:33

Skeptiker hat geschrieben:
Lagrange hat geschrieben:Das ergibt das Integral von Einstein.

Dann hast du wohl was übersehen.

Nö, er hat falsche Zahl geschrieben.
Lagrange
 
Beiträge: 17794
Registriert: Mi 11. Feb 2009, 23:13

Re: Nutzen und Schaden der Einsteinschen ART und SRT

Beitragvon Skeptiker » Mo 30. Sep 2024, 18:35

Lagrange hat geschrieben:Nö, er hat falsche Zahl geschrieben.

Unwahrscheinlich, denn er kommt ja aufs richtige Ergebnis, du nicht.,
Skeptiker
 
Beiträge: 3565
Registriert: Sa 8. Jun 2024, 11:01

Re: Nutzen und Schaden der Einsteinschen ART und SRT

Beitragvon Lagrange » Mo 30. Sep 2024, 18:37

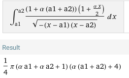
Das Integral

int1.png
int1.png (7.59 KiB) 957-mal betrachtet
Lagrange
 
Beiträge: 17794
Registriert: Mi 11. Feb 2009, 23:13

Re: Nutzen und Schaden der Einsteinschen ART und SRT

Beitragvon Lagrange » Mo 30. Sep 2024, 18:38

Skeptiker hat geschrieben:
Lagrange hat geschrieben:Nö, er hat falsche Zahl geschrieben.

Unwahrscheinlich, denn er kommt ja aufs richtige Ergebnis, du nicht.,

Er hat betrogen.
Lagrange
 
Beiträge: 17794
Registriert: Mi 11. Feb 2009, 23:13

Re: Nutzen und Schaden der Einsteinschen ART und SRT

Beitragvon Skeptiker » Mo 30. Sep 2024, 18:40

Lagrange hat geschrieben:Er hat betrogen.

Unwahrscheinlich, das haben ja zig andere auch richtig durchgerechnet.
Skeptiker
 
Beiträge: 3565
Registriert: Sa 8. Jun 2024, 11:01

Re: Nutzen und Schaden der Einsteinschen ART und SRT

Beitragvon Lagrange » Mo 30. Sep 2024, 18:41

appr1.png
appr1.png (10.34 KiB) 980-mal betrachtet
Lagrange
 
Beiträge: 17794
Registriert: Mi 11. Feb 2009, 23:13

VorherigeNächste

Zurück zu Relativitätstheorie

Wer ist online?

Mitglieder in diesem Forum: 0 Mitglieder und 25 Gäste