Nutzen und Schaden der Einsteinschen ART und SRT

Hier wird die Relativitätstheorie Einsteins kritisiert oder verteidigt

Re: Nutzen und Schaden der Einsteinschen ART und SRT

Beitragvon Lagrange » Mo 20. Jan 2025, 11:44

Einstein schreibt:
Dateianhänge
perihel.jpg
perihel.jpg (27.58 KiB) 1834-mal betrachtet
Lagrange
 
Beiträge: 17794
Registriert: Mi 11. Feb 2009, 23:13

Re: Nutzen und Schaden der Einsteinschen ART und SRT

Beitragvon Lagrange » Mo 20. Jan 2025, 11:49

Wenn man das richtig ausrechnet, erhält man:

statt (11). Diese Gleichung ergibt eine andere (bzw. keine) Periheldrehung.
Lagrange
 
Beiträge: 17794
Registriert: Mi 11. Feb 2009, 23:13

Re: Nutzen und Schaden der Einsteinschen ART und SRT

Beitragvon Skeptiker » Di 21. Jan 2025, 19:55

Kurt ist wohl mal wieder abgetaucht.
Skeptiker
 
Beiträge: 3565
Registriert: Sa 8. Jun 2024, 11:01

Re: Nutzen und Schaden der Einsteinschen ART und SRT

Beitragvon Lagrange » Fr 24. Jan 2025, 13:31

Nicht nur Einstein, auch Schwarzschild hat seine Ergebnisse frisiert. Zum Beispiel hier hat er Minuszeichen einfach weggelassen.
Dateianhänge
schw1.png
schw1.png (12.01 KiB) 1619-mal betrachtet
Lagrange
 
Beiträge: 17794
Registriert: Mi 11. Feb 2009, 23:13

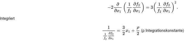
Re: Nutzen und Schaden der Einsteinschen ART und SRT

Beitragvon Lagrange » Do 30. Jan 2025, 15:20

Bild

Mit erhält man Gleichung (11). Es handelt sich offenbar um einen Druckfehler.
Lagrange
 
Beiträge: 17794
Registriert: Mi 11. Feb 2009, 23:13

Re: Nutzen und Schaden der Einsteinschen ART und SRT

Beitragvon Lagrange » Mi 26. Feb 2025, 20:47

This paper finds that the time of the special theory of relativity (STR) is no longer the physical time measured by physical clocks. In fact, a clock can never measure time directly; it can only record the status of a physical process during a period of time, such as the number of cycles of an oscillatory mechanism, which is the product of time and oscillation frequency. After a Lorentz transformation from a moving inertial reference frame to a stationary inertial reference frame, the time in the moving frame is dilated by a factor γ, but the frequency of a clock in the moving frame decreases by the same factor γ, leaving the resulting product (i.e., the time displayed by the moving clock) unchanged. In other words, the time displayed by any physical clock is invariant with respect to Lorentz transformation, unlike the time of the STR. It is a mistake to use the properties of time in the STR to predict time dilation for physical clocks or any other physical process. Based on the Lorentz invariance of clock time, we can prove that within the framework of the STR, our Earth-based standard physical time is absolute, universal, and independent of the inertial reference frame. The existence of such an absolute and universal clock time is confirmed by the universal synchronization of all ground and satellite clocks of the global positioning system and by the theoretical existence of the absolute and universal Galilean time within the framework of the STR. We can further prove that in the STR, the time dilation and length contraction of a moving inertial reference frame observed from a stationary inertial reference frame are pure illusions. Moreover, in the STR, the real speed of light still exists and follows Newton’s velocity-addition formula, which directly falsifies the postulate of the STR that the speed of light is constant in all inertial reference frames. All these findings lead us to question the validity of the STR as a theory of physics.


http://physicsessays.org/browse-journal ... ivity.html
Lagrange
 
Beiträge: 17794
Registriert: Mi 11. Feb 2009, 23:13

Re: Nutzen und Schaden der Einsteinschen ART und SRT

Beitragvon Skeptiker » Do 27. Feb 2025, 10:59

Lagrange hat geschrieben:
This paper finds that the time of the special theory of relativity (STR) is no longer the physical time measured by physical clocks. In fact, a clock can never measure time directly; it can only record the status of a physical process during a period of time, such as the number of cycles of an oscillatory mechanism, which is the product of time and oscillation frequency. After a Lorentz transformation from a moving inertial reference frame to a stationary inertial reference frame, the time in the moving frame is dilated by a factor γ, but the frequency of a clock in the moving frame decreases by the same factor γ, leaving the resulting product (i.e., the time displayed by the moving clock) unchanged. In other words, the time displayed by any physical clock is invariant with respect to Lorentz transformation, unlike the time of the STR. It is a mistake to use the properties of time in the STR to predict time dilation for physical clocks or any other physical process. Based on the Lorentz invariance of clock time, we can prove that within the framework of the STR, our Earth-based standard physical time is absolute, universal, and independent of the inertial reference frame. The existence of such an absolute and universal clock time is confirmed by the universal synchronization of all ground and satellite clocks of the global positioning system and by the theoretical existence of the absolute and universal Galilean time within the framework of the STR. We can further prove that in the STR, the time dilation and length contraction of a moving inertial reference frame observed from a stationary inertial reference frame are pure illusions. Moreover, in the STR, the real speed of light still exists and follows Newton’s velocity-addition formula, which directly falsifies the postulate of the STR that the speed of light is constant in all inertial reference frames. All these findings lead us to question the validity of the STR as a theory of physics.


http://physicsessays.org/browse-journal ... ivity.html

Das Papier behauptet, dass die Zeitmessung durch Uhren invariant unter Lorentz-Transformationen sei und dass Zeitdilatation sowie Längenkontraktion Illusionen seien. Diese Behauptungen widersprechen jedoch den umfangreichen experimentellen Belegen, die die spezielle Relativitätstheorie unterstützen, einschließlich der Invarianz der Lichtgeschwindigkeit und beobachtbarer Effekte wie Zeitdilatation (z. B. in Muon-Zerfallexperimenten und GPS-Korrekturen). Die „eigentliche Zeit“ entspricht der Eigenzeit, die entlang der Weltlinie einer Uhr invariant ist, aber die Uhr in Bewegung wird im Vergleich zu einer ruhenden Uhr verschiedene Werte anzeigen.
Skeptiker
 
Beiträge: 3565
Registriert: Sa 8. Jun 2024, 11:01

Re: Nutzen und Schaden der Einsteinschen ART und SRT

Beitragvon Lagrange » Do 27. Feb 2025, 18:20

... aber die Uhr in Bewegung wird im Vergleich zu einer ruhenden Uhr verschiedene Werte anzeigen.

SRT behauptet, dass man nicht wissen kann, welche Uhr bewegt wird.
Lagrange
 
Beiträge: 17794
Registriert: Mi 11. Feb 2009, 23:13

Re: Nutzen und Schaden der Einsteinschen ART und SRT

Beitragvon Skeptiker » Fr 28. Feb 2025, 11:01

Lagrange hat geschrieben:SRT behauptet, dass man nicht wissen kann, welche Uhr bewegt wird.

Ja, das ist eine fundamentale Eigenschaft der speziellen Relativitätstheorie. Alle Inertialsysteme sind gleichberechtigt, und es gibt keinen absoluten Ruhebezug. Bewegung ist stets relativ zum gewählten Bezugssystem, weshalb man bei gleichförmiger Bewegung nicht eindeutig bestimmen kann, wer „wirklich“ in Bewegung ist. Nur bei Beschleunigungsphasen – die absolut messbar sind – kann man feststellen, welcher Beobachter von einer Änderung des Bewegungszustandes betroffen ist.
Skeptiker
 
Beiträge: 3565
Registriert: Sa 8. Jun 2024, 11:01

Re: Nutzen und Schaden der Einsteinschen ART und SRT

Beitragvon Lagrange » Fr 28. Feb 2025, 16:13

Skeptiker hat geschrieben:
Lagrange hat geschrieben:SRT behauptet, dass man nicht wissen kann, welche Uhr bewegt wird.

Ja, das ist eine fundamentale Eigenschaft der speziellen Relativitätstheorie. Alle Inertialsysteme sind gleichberechtigt, und es gibt keinen absoluten Ruhebezug. Bewegung ist stets relativ zum gewählten Bezugssystem, weshalb man bei gleichförmiger Bewegung nicht eindeutig bestimmen kann, wer „wirklich“ in Bewegung ist. ...

Somit ist die SRT experimentell widerlegt.
Lagrange
 
Beiträge: 17794
Registriert: Mi 11. Feb 2009, 23:13

VorherigeNächste

Zurück zu Relativitätstheorie

Wer ist online?

Mitglieder in diesem Forum: 0 Mitglieder und 4 Gäste

cron