Die Spezielle Relativitätstheorie als Signallehre.

Hier wird die Relativitätstheorie Einsteins kritisiert oder verteidigt

Re: Die Spezielle Relativitätstheorie als Signallehre.

Beitragvon Mikesch » Mo 20. Mai 2019, 13:08

Jetzt ist Krawallbruder Lagrange aber ganz dolle dabei, den Faden 'mal so ganz nach vorne an die Gaga-Rampe zu schieben.
Glückwunsch!
Mikesch
 
Beiträge: 8047
Registriert: Di 18. Jan 2011, 19:20

Re: Die Spezielle Relativitätstheorie als Signallehre.

Beitragvon McMurdo » Mo 20. Mai 2019, 13:11

Mikesch hat geschrieben:Jetzt ist Krawallbruder Lagrange aber ganz dolle dabei, den Faden 'mal so ganz nach vorne an die Gaga-Rampe zu schieben.
Glückwunsch!

Was so ein richtiger Troll ist muss halt gelernt sein! :D Das kann er!
McMurdo
 

Re: Die Spezielle Relativitätstheorie als Signallehre.

Beitragvon Lagrange » Mo 20. Mai 2019, 13:11

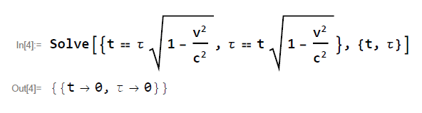
MikDepp hat geschrieben:Miau, miau


Vorhersage der SRT:




Funktioniert nur mi t=t'=0 :lol: :lol: :lol:
Dateianhänge
SRT1.png
SRT1.png (9.44 KiB) 1922-mal betrachtet
Lagrange
 
Beiträge: 17794
Registriert: Mi 11. Feb 2009, 23:13

Re: Die Spezielle Relativitätstheorie als Signallehre.

Beitragvon Lagrange » Mo 20. Mai 2019, 13:13

McAnal hat geschrieben:Ich bin ein richtiger Troll :D Das kann ich! Muuuuuuuuuuhhhhh


:lol: :lol: :lol:
Lagrange
 
Beiträge: 17794
Registriert: Mi 11. Feb 2009, 23:13

Re: Die Spezielle Relativitätstheorie als Signallehre.

Beitragvon Mikesch » Mo 20. Mai 2019, 13:19

Frischer Popcorn! Salzig oder süß!
Mikesch
 
Beiträge: 8047
Registriert: Di 18. Jan 2011, 19:20

Re: Die Spezielle Relativitätstheorie als Signallehre.

Beitragvon Lagrange » Mo 20. Mai 2019, 14:29

DerGast hat geschrieben:
Mikesch hat geschrieben:Frischer Popcorn! Salzig oder süß!

Salzig, bitte.

THX!

Für dich bitter! :lol: :lol: :lol:

Bild
Lagrange
 
Beiträge: 17794
Registriert: Mi 11. Feb 2009, 23:13

Re: Die Spezielle Relativitätstheorie als Signallehre.

Beitragvon Zasada » Mo 20. Mai 2019, 15:05

McMurdo hat geschrieben:Was so ein richtiger Troll ist muss halt gelernt sein! :D Das kann ich!

:D
Zasada
 
Beiträge: 5352
Registriert: Fr 19. Okt 2018, 05:00

Re: Die Spezielle Relativitätstheorie als Signallehre.

Beitragvon McMurdo » Mo 20. Mai 2019, 15:09

Mikesch hat geschrieben:Frischer Popcorn! Salzig oder süß!

Salz und Butter bitte! :D

Kommen ja wieder nur gefälschte Zitate. Denen fällt auch echt nix mehr ein. Wird Zeit das die Serie abgesetzt wird.
McMurdo
 

Re: Die Spezielle Relativitätstheorie als Signallehre.

Beitragvon Lagrange » Do 23. Mai 2019, 10:44

DerGast hat geschrieben:Ich bin ein CharakterSchwein!

Klar! :lol: :lol: :lol:
Lagrange
 
Beiträge: 17794
Registriert: Mi 11. Feb 2009, 23:13

Re: Die Spezielle Relativitätstheorie als Signallehre.

Beitragvon Zasada » Do 23. Mai 2019, 11:29

pinokio gutdreiecxk.gif
pinokio gutdreiecxk.gif (6 MiB) 1653-mal betrachtet
Ich zeige hier das SloMo Modell der Ereigniszähler-Methode, damit Sie die Möglichkeit haben, sich mit ihr in Ruhe zu beschäftigen. Diese Methode widerlegt die These, die Gleichzeitigkeit innerhalb der "Definition der Gleichzeitigkeit" von Albert Einstein betreffe nur die symmetrischen Diametralpunkte der Ausbreitung (wie etwa die Endpunkte der Definitionsstrecke: A und B).
In Wahrheit zeigt Einsteins Definition, wenn man sie mittels Ereigniszählers auf sich selbst bezieht, dass alle Punkte der gesamten Anordnung miteinander gleichzeitig sind.
Dies hätte Einstein auffallen müssen...oder einem seiner unzähligen Jünger in den 114 Jahren...
Dies verändert die Spielregeln.
Dazu bald mehr.
Zasada
 
Beiträge: 5352
Registriert: Fr 19. Okt 2018, 05:00

VorherigeNächste

Zurück zu Relativitätstheorie

Wer ist online?

Mitglieder in diesem Forum: 0 Mitglieder und 13 Gäste