Das Michelson-Morley-Experiment

Hier wird die Relativitätstheorie Einsteins kritisiert oder verteidigt

Re: Das Michelson-Morley-Experiment

Beitragvon Ernst » So 20. Okt 2013, 15:21

Harald Maurer hat geschrieben:Experimente von der Art des MM-Experiments sind nicht in der Lage, interferometrisch eine Lorentzinvarianz nachzuweisen.

Natürlich sind sie das. Das wurde hier ja zigfach analytiswch dargestellt und animiert. Dein Problem hatte fb.. treffend beschrieben; Du verwechselst Wellen mit Schwingungen.

Bild

Das ist ja eine besonders törichte Folgerung:
Diese "Mittelwertbildung" vernachlässigt sträflich die unterschiedliche Anzahl der Wellenlängen auf der Hin- und Rück-Strecke.
Etwas dümmeres dazu habe ich noch nicht gesehen.

Richtig wird's so
λ = λo*[(1-v/c)(1+v/c) + λo*(1+v/c)(1-v/c)]/[(1+v/c)+(1-v/c)]
λ = λo*(1-v²/c²) + λo*(1-v²/c²)/2
λ = λo*(1-v²/c²)

Die durchschnittliche Wellenlänge ist in zweiter Größenordnung von v/c abhängig und somit ergibt sich die bekannte Phasendifferenz in Abhängigkeit von v/c.
.
.
Zuletzt geändert von Ernst am So 20. Okt 2013, 16:10, insgesamt 3-mal geändert.
Ernst
 
Beiträge: 11188
Registriert: Mi 31. Dez 2008, 18:58

Re: Das Michelson-Morley-Experiment

Beitragvon Ernst » So 20. Okt 2013, 15:24

Joachim Stiller hat geschrieben:Fakt ist doch, dass man versucht, mit dem MME die Konstanz der LG zu belegen.

Nein, das versucht ernsthaft niemand.
Das Ergebnis ist mit Emission und mitgeführtem Äther kompatibel, wo beidesmal c nicht konstant ist.
.
.
Ernst
 
Beiträge: 11188
Registriert: Mi 31. Dez 2008, 18:58

Re: Das Michelson-Morley-Experiment

Beitragvon Joachim Stiller » So 20. Okt 2013, 17:07

@ Ernst,

Das ist doch Unsinn... Beim mitgeführten Äther ist doch c "gerade" konstant... Zumindest im Verhältnis zur Bewegung der Versuchsanordnung...

@ Harrald,

danke für die Klärung... Damit bin ich einen riesigen Schritt weiter... Ich könnte mir übrigens vorstellen, dass die Geschwindigkeiten des Lichts im Rahmen der MME auch in der 2. Ordnung genau so konstant erscheinen, wie in der 1. Ordnung... Und zwar aus analogen Gründen... Es ist eben ein bloßer Scheinversuch... Welche Experimente oder Überlegungen gibt es denn noch, die die Konstanz der LG belegen sollen. Ich meine, vom MME einmal abgesehen... Gruß Joachim Stiller Münster
Joachim Stiller
 
Beiträge: 302
Registriert: Sa 4. Jun 2011, 13:57
Wohnort: Münster

Re: Das Michelson-Morley-Experiment

Beitragvon Kurt » So 20. Okt 2013, 17:21

Joachim Stiller hat geschrieben:@ Ernst,

Das ist doch Unsinn... Beim mitgeführten Äther ist doch c "gerade" konstant... Zumindest im Verhältnis zur Bewegung der Versuchsanordnung...


Wozu ist c konstant?

Welches Verhältnis, und zu was, ist denn die Versuchsanordnung bewegt?

Was ist mit deinen roten und blauen Kügelchen, sind die noch im Rennen?

Kurt
Kurt
 
Beiträge: 21799
Registriert: Sa 7. Nov 2009, 14:07
Wohnort: Bayern

Re: Das Michelson-Morley-Experiment

Beitragvon Ernst » So 20. Okt 2013, 17:39

Joachim Stiller hat geschrieben:@ Ernst,
Das ist doch Unsinn... Beim mitgeführten Äther ist doch c "gerade" konstant... Zumindest im Verhältnis zur Bewegung der Versuchsanordnung...

In jedem Äther ist die LG im Verhältnis zur Bewegung der Versuchsanordnung allgemein ungleich c, weil die Versuchsanordnung allgemein nicht im Äther ruht.
.
.
Ernst
 
Beiträge: 11188
Registriert: Mi 31. Dez 2008, 18:58

Re: Das Michelson-Morley-Experiment

Beitragvon Harald Maurer » So 20. Okt 2013, 18:22

Ernst hat geschrieben:Das ist ja eine besonders törichte Folgerung:
Diese "Mittelwertbildung" vernachlässigt sträflich die unterschiedliche Anzahl der Wellenlängen auf der Hin- und Rück-Strecke.

Es gibt keine unterschiedliche Anzahl der Wellenlängen bei konstanter Frequenz auf der Hin-und Rückstrecke! Da werden in der gleichen Zeiteinheit gleich viel Wellenzüge empfangen wie gesendet! Genau deshalb ist die Frequenz konstant! Dieses Gespenst von der unterschiedlichen Anzahl der Wellenlängen ist ein Irrtum, hervorgerufen durch die Ansicht, da gäbe es kurze und lange Wellenlängen. Aber diese Differenzen werden durch die Bewegung des Empfängers ja egalisiert. Wenn ein Sender in 1 s 1000 Wellenzüge absendet und der Empfänger in 1 s 1000 Wellenzüge empfängt, diese reflektiert und beim Sender kommen wiederum 1000 Wellenzüge in 1 s an, was sollten dann unterschiedliche Wellenanzahlen für eine Rolle spielen? Die Wellen werden um einen bestimmten Faktor vom Sender gestaucht oder gedehnt, und der Empfänger dehnt oder staucht sie um den gleichen Faktor zurück zu jener Länge, aus welcher sich die gleiche Frequenz ergibt wie beim Sender. Dieser Kompensationsvorgang ist unabhängig von der Geschwindigkeit im Medium. Läuft das Licht kontinuierlich durch und ist einmal eine konstruktive Interferenz eingestellt, wird eine Änderung der Mediums-Geschwindigkeit keine Änderung dieser Interferenz bewirken können!
Ernst hat geschrieben:Richtig wird's so
λ = λo*[(1-v/c)(1+v/c) + λo*(1+v/c)(1-v/c)]/[(1+v/c)+(1-v/c)]
λ = λo*(1-v²/c²) + λo*(1-v²/c²)/2
λ = λo*(1-v²/c²)

Du rechnest mit (1-v/c) und (1+v/c) in allen Fällen. Das ist falsch! Die Formeln für bewegte Quelle und bewegten Beobachter sind unterschiedlich! Und im MMI sind alle Quellen und Beobachter relativ zum Medium bewegt! Daher sind beide unterschiedlichen Formeln einzusetzen bzw. zu kombinieren:
doppler_comp4.png
doppler_comp4.png (11.19 KiB) 5277-mal betrachtet

Nehmen wir eine Frequenz von 1000 Hz an. Das ergäbe ruhend im Medium eine Wellenlänge von 300 m (mit c=300000 km/s)
Du würdest bei v=300 mit folgenden Wellenlängen rechnen:
aus 300*(1+v/c) ergibt sich 300,3 m
aus 300*(1-v/c) ergibt sich 299,7 m
Die richtigen Formeln würden ergeben
300*(1+v/c)=300,3 m
300*(1/(1+(v/c)))=299,7002997002997002997002997003 m
Da gibt es also in der kürzeren Wellenlänge einen kleinen Unterschied von rund 0,0003, um welchen sie länger ist als nach Deinem Ansatz.
Was ergibt sich aus Deinem λo*(1-v²/c²):
300*0,999999=299,9997. Du erhältst einen zu kleinen Wert, denn die kurze Welle ist nach richtiger Rechnung etwas länger! Geben wir also den kleinen Unterschied hinzu:
299,9997+0,0003=300 !
Also:
λ = λo !
Nicht nur auf die Gl. 15 in Engelhardts Arbeit gucken! Alles lesen, und die Rechnung verfolgen!
Und aus λ=299,9997 ergäbe sich außerdem eine Frequenz von 1000,001...Hz. Nach Deiner Rechnung bliebe die Frequenz also nicht konstant. Bleibt sie aber.

Grüße
Harald Maurer
Harald Maurer
Administrator
 
Beiträge: 3218
Registriert: Di 30. Dez 2008, 13:05
Wohnort: Graz

Re: Das Michelson-Morley-Experiment

Beitragvon Kurt » So 20. Okt 2013, 18:49

Harald Maurer hat geschrieben:
Ernst hat geschrieben:Das ist ja eine besonders törichte Folgerung:
Diese "Mittelwertbildung" vernachlässigt sträflich die unterschiedliche Anzahl der Wellenlängen auf der Hin- und Rück-Strecke.

Es gibt keine unterschiedliche Anzahl der Wellenlängen bei konstanter Frequenz auf der Hin-und Rückstrecke!

Natürlich gibt es die.
Die Wellenlänge ist das Produkt von Wiederholfrequenz und Weiterleitungsgeschwindigkeit im Medium.
Wenn auf dem Hin und Rückweg unterschiedliche Weiterleitgeschwindigkeiten (Bewegung gegen das Medium) herrschen dann ergeben sich unterschiedliche "Wellenzugzahlen".

Harald Maurer hat geschrieben: Da werden in der gleichen Zeiteinheit gleich viel Wellenzüge empfangen wie gesendet!


Richtig, darum auch die gleiche Frequenz.
Auf der (hin/rück) Strecke sind aber unterschiedlich viele unterwegs.

Harald Maurer hat geschrieben:Genau deshalb ist die Frequenz konstant!


Die Frequenz ist konstant/identisch weil die Anzahl empfangener Wellen der der gesendeten entspricht.

Harald Maurer hat geschrieben: Dieses Gespenst von der unterschiedlichen Anzahl der Wellenlängen ist ein Irrtum, hervorgerufen durch die Ansicht, da gäbe es kurze und lange Wellenlängen.


Der Irrtum liegt darin dass die Anzahl Wellen auf der Strecke irgendwas mit der Frequenz zu tun haben mit der diese empfangen werden.

Harald Maurer hat geschrieben:Aber diese Differenzen werden durch die Bewegung des Empfängers ja egalisiert.


Einen Frequenzunterschied, genannt Doppler, gibt's nur wenn sich Sender und Empfänger zueinander bewegen.

Harald Maurer hat geschrieben: Wenn ein Sender in 1 s 1000 Wellenzüge absendet und der Empfänger in 1 s 1000 Wellenzüge empfängt, diese reflektiert und beim Sender kommen wiederum 1000 Wellenzüge in 1 s an, was sollten dann unterschiedliche Wellenanzahlen für eine Rolle spielen?


Wenn ein Sender 1000 Wellenzüge pro s absetzt dann kommen beim Empfänger 1000 Wellenzüge in einer s an, dabei spielt es keine Rolle wie schnell diese unterwegs waren oder wie lange sie dazu gebraucht haben (oder wie lange die "Wellen" sind).


Kurt
Kurt
 
Beiträge: 21799
Registriert: Sa 7. Nov 2009, 14:07
Wohnort: Bayern

Re: Das Michelson-Morley-Experiment

Beitragvon Ernst » So 20. Okt 2013, 19:08

Harald Maurer hat geschrieben:
Ernst hat geschrieben:Das ist ja eine besonders törichte Folgerung:
Diese "Mittelwertbildung" vernachlässigt sträflich die unterschiedliche Anzahl der Wellenlängen auf der Hin- und Rück-Strecke.

Es gibt keine unterschiedliche Anzahl der Wellenlängen bei konstanter Frequenz auf der Hin-und Rückstrecke! Da werden in der gleichen Zeiteinheit gleich viel Wellenzüge empfangen wie gesendet! Genau deshalb ist die Frequenz konstant! Dieses Gespenst von der unterschiedlichen Anzahl der Wellenlängen ist ein Irrtum, hervorgerufen durch die Ansicht, da gäbe es kurze und lange Wellenlängen.

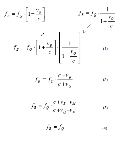
Dann müssen wir gar nicht weiterreden. Selbstverständlich ist die Wellenlänge in Strömungsrichtung größer als entgegen Strömungsrichtung. Lange Wellen in Strömungsrichtung und kurze Wellen zurück. Das ergibt unterschiedliche Anzahlen von Wellen hin und zurück. Das ist elementare Wahrheit und jederzeit zu beobachten. In stationärer Strömung ist dabei die Frequenz an jeder Stelle konstant. Weil die langen Wellen schneller laufen und die kurzen Wellen langsamer laufen.
Das wird ja sogar in seiner unzureichenden Rechnung berücksichtigt.

Bild

Ernst hat geschrieben:Richtig wird's so
λ = λo*[(1-v/c)(1+v/c) + λo*(1+v/c)(1-v/c)]/[(1+v/c)+(1-v/c)]
λ = λo*(1-v²/c²) + λo*(1-v²/c²)/2
λ = λo*(1-v²/c²)

Du rechnest mit (1-v/c) und (1+v/c) in allen Fällen. Das ist falsch! Die Formeln für bewegte Quelle und bewegten Beobachter sind unterschiedlich!


Er bildet den Mittelwert nur der unterschiedlichen Wellenlängen. Die unterschiedliche Wellenanzahl hat er unterschlagen.
Ich habe lediglich seine Gleichung dahingehend korrigiert, daß die Anzahl der Wellen in Strömungsrichtung kleiner ist als entgegen. Große Wellenlänge = kleine Wellenzahl. Kleine Wellenlänge = große Wellenzahl.

In dieser Sache liegst du ganz schief. :(
.
.
Zuletzt geändert von Ernst am So 20. Okt 2013, 19:26, insgesamt 1-mal geändert.
Ernst
 
Beiträge: 11188
Registriert: Mi 31. Dez 2008, 18:58

Re: Das Michelson-Morley-Experiment

Beitragvon Joachim Stiller » So 20. Okt 2013, 19:08

Also, ich würde in dieser Frag Harrald recht geben, denn was für die Geschwindigkeiten gilt, gilt natürlich auch für die Wellenlängen... Es ging ja auch nur darum, dass man mit dem MME nichts beweisen kann, weder die Konstanz der LG, noch das Gegenteil... Gruß Joachim Stiller MÜnster
Joachim Stiller
 
Beiträge: 302
Registriert: Sa 4. Jun 2011, 13:57
Wohnort: Münster

Re: Das Michelson-Morley-Experiment

Beitragvon Ernst » So 20. Okt 2013, 19:18

Joachim Stiller hat geschrieben:Also, ich würde in dieser Frag Harrald recht geben, denn was für die Geschwindigkeiten gilt, gilt natürlich auch für die Wellenlängen... Es ging ja auch nur darum, dass man mit dem MME nichts beweisen kann, weder die Konstanz der LG, noch das Gegenteil...

Das wollte auch niemand. Man wollte einen konventionellen Äther nachweisen. Den hat man nicht gefunden.
.
.
Ernst
 
Beiträge: 11188
Registriert: Mi 31. Dez 2008, 18:58

VorherigeNächste

Zurück zu Relativitätstheorie

Wer ist online?

Mitglieder in diesem Forum: 0 Mitglieder und 36 Gäste